Revista Atenas. ISSN: 1682-2749. Nro. 62 (2024) enero-diciembre págs.[1 - 16] https://atenas.umcc.cu
Gestión emocional mediante la Inteligencia Artificial en el Entorno Virtual de Aprendizaje Moodle
Moodle Virtual Learning Emotional management through Artificial Intelligence in the Moodle Virtual Learning Environment Aprendizagem Virtual Moodle Gestão emocional por meio de Inteligência Artificial no Ambiente Virtual de Aprendizagem Moodle
Artículo de investigación
Recibido: 21/04/2024 Evaluado: 16/05/2024 Aceptado: 13/06/2024
María Lucía Campoverde Cárdenas
Unidad Educativa Gabriel Cevallos García. Cuenca-Ecuador.
https://orcid.org/0009-0008-4341-2159
marial.campoverde@educacion.gob.ec
Hendy Maier Pérez Barrera
Universidad Bolivariana del Ecuador. Guayaquil-Ecuador.
https://orcid.org/0000-0003-1989-2136
hmperezb@ube.edu.ec
Roger Martínez Isaac
Universidad Bolivariana del Ecuador. Guayaquil-Ecuador.
https://orcid.org/0000-0002-5283-5726
rmartinez@ube.edu.ec
¿Cómo citar el artículo?
Campoverde-Cárdenas, M. L., Pérez-Barrera, H. M. & Martínez-Isaac, R. (2024). Gestión emocional mediante la Inteligencia Artificial en el Entorno Virtual de Aprendizaje Moodle. Atenas, nro. 62, e11847, 1-16.
Resumen
Palabras clave: gestión emocional, Inteligencia Artificial, Entorno Virtual de Aprendizaje.
Abstract
The objective of this paper is to socialize the research results obtained regarding enhancing emotional management during the virtual learning process through the use of Artificial Intelligence in the Virtual Learning Environment implemented within Moodle, in the Master of Education with a mention in Pedagogy. in Digital Environments Bolivarian University of Ecuador. For this purpose, a theoretical search was carried out that supports the relevance of the Learning Data Analytics platform and Moodle Feedback Module as certified tools for integration with Moodle, which allow improving the personalization of meaningful learning, adapting the content to the individual emotional needs of the students. students. By the way, it is concluded that the implementation of a data analysis system based on AI favors the emotional management of the student, facilitates the identification of emotional patterns and provides feedback from the teachers to the students in order to improve the quality of teaching, which results in an unavoidable challenge: The development of digital skills in teachers in the face of the rise of Artificial Intelligence.
Keywords: Emotional management, Artificial Intelligence, Virtual Learning Environment.
Resumo
O objetivo deste artigo é socializar os resultados da pesquisa obtidos no sentido de potencializar a gestão emocional durante o processo de aprendizagem virtual através do uso de Inteligência Artificial no Ambiente Virtual de Aprendizagem implementado no Moodle, no Mestrado em Educação com menção em Pedagogia em Ambientes Digitais. Universidade Bolivariana do Equador. Para o efeito, foi realizada uma pesquisa teórica que sustenta a relevância da plataforma Learning Data Analytics e do Moodle Feedback Module como ferramentas certificadas de integração com o Moodle, que permitem melhorar a personalização da aprendizagem significativa, adaptando o conteúdo às necessidades emocionais individuais de cada um. os estudantes. Aliás, conclui-se que a implementação de um sistema de análise de dados baseado em IA favorece a gestão emocional do aluno, facilita a identificação de padrões emocionais e fornece feedback dos professores aos alunos, a fim de melhorar a qualidade do ensino, o que resulta num desafio incontornável: O desenvolvimento de competências digitais nos professores face à ascensão da Inteligência Artificial.
Palavras-chave: gestão emocional, Inteligência Artificial, Ambiente Virtual de Aprendizagem.
Introducción
En el mundo contemporáneo, el aprendizaje electrónico (eLearning) “es una modalidad de enseñanza-aprendizaje que consiste en el diseño, puesta en práctica y evaluación de un curso o plan formativo desarrollado a través de redes de ordenadores” (Moreira & Segura, 2019, p. 2) ha emergido como una herramienta poderosa para la educación y el desarrollo profesional. Sin embargo, en medio de la fascinación por la tecnología y la accesibilidad que ofrece el eLearning, a menudo se pasa por alto un componente crucial como lo son las emociones.
Las emociones “desempeñan un papel fundamental en el proceso de aprendizaje, incluso en entornos virtuales de aprendizaje”, (Fernández, 2023, pág. 1) de igual manera “constituyen un factor importante al momento de explicar o interpretar el comportamiento humano” (Ibáñez, 2002, p. 31). Aunque pueda parecer que el eLearning está alejado de las interacciones humanas y, por ende, de las emociones, reconocer su importancia desde la percepción y procesamiento de la información es esencial para potenciar un aprendizaje verdaderamente significativo.
La educación se ha trasladado cada vez más al ámbito virtual, razón por la que, comprender cómo las emociones influyen en el aprendizaje en línea resulta cada vez más relevante. Investigaciones en este campo han revelado que las emociones “juegan un papel crucial en la motivación, la atención, la memoria y la toma de decisiones de los estudiantes” al decir de (García & Ángel, 2012), incluso, en entornos virtuales de aprendizaje. Asimismo, (Maldonado & Intriago, 2023) plantean que “comprender y gestionar las emociones en los estudiantes es fundamental para promover un ambiente de aprendizaje óptimo y apoyar su desarrollo educativo y personal”. Por lo tanto, abordar las emociones en el contexto del eLearning se convierte en un aspecto esencial para mejorar el proceso educativo y promover un aprendizaje significativo.
En este sentido, destaca en la actualidad el avance de la Inteligencia Artificial (IA), la cual ha tenido un crecimiento exponencial en los últimos años, en tanto su incidencia en la transformación del ámbito profesional. Uno de los campos en los que la IA ha tenido un impacto significativo es, de acuerdo con Gómez (2023), el de la educación, lo que ha beneficiado la formación y desempeño en este contexto.
Es importante partir de que la IA se refiere a la “capacidad de las máquinas para imitar la inteligencia humana y realizar tareas de manera autónoma” (IBM, 2024), por lo que su función principal consiste en imitar la mente humana y en efectuar el procesamiento de datos que recopila de las bases existentes, pero no por ello sustituye a quien la ha creado, puesto que carece de potencial afectivo. Por ejemplo, si al interactuar con Alexa, le decimos: -Hola Alexa, ¿puedes decirme quién es Kai-Fu Lee?, su respuesta pudiera ser -"Mi abuelo, mi papá…", si la Inteligencia Artificial (IA) estuviera dotada de emociones, pero como es solo un axioma, el asistente no se emociona, no respeta, no genera empatía, no hace crecer, por ello, la respuesta sería un resumen de lo que encontró en los datos consultados, sin valoraciones auténticas, ni juicios personalizados.
La sinergia entre la inteligencia artificial y las emociones en entornos virtuales de aprendizaje representa un avance significativo en la educación contemporánea, así como “el aprendizaje autónomo en Entornos Virtuales, su relación con las inteligencias artificial y emocional”, (Nogueira et al., 2024). Desde esta visión, al incorporar algoritmos de IA que pueden adaptarse a las necesidades individuales de los estudiantes y proporcionar retroalimentación personalizada, se crea un entorno de aprendizaje más dinámico e interactivo.
La consideración de las emociones humanas en el diseño de plataformas virtuales permite una experiencia más enriquecedora, en tanto reconocimiento y respuesta de manera adecuada a los estados emocionales de los estudiantes, lo que facilita un aprendizaje más profundo y significativo, como se constata en estudio realizado por (Cetina et al., 2023) en la Universidad de Quintana Roo de México, en el que se indagó respecto a cómo los profesores enfrentaron su enseñanza en el contexto de la pandemia de Covid-19, desde la modalidad en línea, qué recursos psicopedagógicos, de infraestructura y equipamiento, para desempeñarse profesionalmente fueron los más efectivos. Esta convergencia entre tecnología y emociones promete transformar la educación, ofreciendo un camino hacia un aprendizaje más personalizado y centrado en el estudiante.
Actualmente, la educación está experimentando profundos cambios impulsados por la inteligencia artificial (IA), lo que potencia su uso en función de perfeccionar, entre otros, las plataformas que contribuyen al desarrollo exitoso del proceso de enseñanza y aprendizaje. Un ejemplo de ello es Moodle, considerada como una “(…) una plataforma de aprendizaje diseñada para proporcionarle a educadores, administradores y estudiantes un sistema integrado único, robusto y seguro para crear ambientes de aprendizaje personalizados” (Moodle, 2023), un aspecto que consideran clave los autores de este artículo, dado la funcionalidad de dicha plataforma educativa, una de las más utilizadas en el mundo, la cual no es ajena a este cambio. En este contexto, se reconoce la necesidad de enfrentar el desafío de adaptar y utilizar la inteligencia artificial para mejorar la experiencia de aprendizaje de los estudiantes, por lo que, los se respalda la pertinencia de integrar la IA a la formación estudiantil como un eje transversal, que potencie el desarrollo de conocimientos, habilidades y actitudes, incluyendo la comprensión y gestión de las emociones en situaciones concretas de aprendizaje y actuación profesional.
En correspondencia con lo anteriormente planteado, el uso de la IA resulta un reto en relación con la organización curricular que identifica a cada uno de los módulos de la Maestría en Educación con mención en Entornos Virtuales de la Universidad Bolivariana del Ecuador, pero sobre todo, en cuanto a la necesaria concientización que se requiere por parte de los actores universitarios para hacer que la IA favorezca los procesos académicos y la consecuente gestión emocional que ello implica, en lugar de “enmascarar” los resultados que le son inherentes.
La UBE cuenta con un entorno Virtual de Aprendizaje implementado en Moodle en el que están disponible varios cursos de Pregrado, Posgrado, Educación continua, Certificaciones, Formación Docente, todo ello, de gran interés para los distintos niveles de enseñanza, lo que avala su slogan de ser “La Universidad para todos”. En esta dirección, uno de los principales desafíos que enfrenta la institución es el identificar y gestionar las emociones dentro en un Entorno Virtual de aprendizaje específicamente en Moodle, por lo que, si no se logra una retroalimentación verdadera en tiempo real, hay un efecto negativo sobre las emociones de los estudiantes.
En los entornos virtuales de aprendizaje, las aplicaciones derivadas de las tecnologías de IA mejoran las experiencias de aprendizaje. Esto incluye el uso de algoritmos de aprendizaje automático para adaptar el contenido de aprendizaje, el desarrollo de asistentes virtuales para apoyar a los estudiantes desde lo académico como en la gestión de sus emociones y el uso de análisis de datos para identificar patrones de aprendizaje y adaptar materiales de aprendizaje, aspecto que, desde la perspectiva de los autores de este artículo, resulta medular como resultante del uso de la IA en el proceso de formación de los estudiantes. La IA puede “observar, escuchar y comprender” (Rouhiainen, 2018, pág. 18), basada en datos, lo que la convierte en una poderosa herramienta para el estudio particular del seguimiento a los resultados de aprendizaje de los estudiantes, así como en la gestión de sus emociones. En este sentido, los investigadores a nivel internacional respecto a la IA han logrado nuevos y sorprendentes avances en estas ciencias. Por ejemplo, Google anunció que la visión por computadora desarrollada por la compañía ahora puede agregar el color apropiado a fotografías y videos que, de otro modo, serían en blanco y negro.
Otro de los avances en la visión por computadora, corresponde a investigadores del Instituto Tecnológico de Massachusetts (MIT), quienes han desarrollado con éxito una inteligencia artificial que puede ver a través de las paredes, al utilizar ondas de radiofrecuencia. De igual manera, se han realizado estudios referentes a los entornos virtuales de aprendizaje, particularmente en Moodle, con el objetivo de aplicar mejoras sustantivas en la calidad del aprendizaje en sus cursos, como refiere (Jacznik, et al., 2016). Ello, sin dudas, revoluciona la educación y su sentido didáctico, lo que repercute, a criterio de los autores de este artículo, no solo en la calidad del aprendizaje, sino en el efecto emocional que ello desencadena, siempre y cuando no se limite a tareas y su resolución.
A nivel nacional se han realizado investigaciones sobre las aplicaciones de inteligencia artificial en los entornos virtuales de aprendizaje. En la Universidad Técnica de Machala, Ecuador, los investigadores, (Bravo et al. 2022) se propusieron explorar cómo la implementación de la IA puede potenciar esta plataforma y transformar la experiencia de aprendizaje en línea. Para esto se estudió una muestra de 231 artículos, a través de codificación Prisma para el análisis de contenidos, lo que devino como resultado, la predominancia hoy en día de una la educación, que ofrece clases en línea con el uso de diversas herramientas tecnológicas como chatsbots virtuales, asistentes personalizados y tutorías académicas.
Metodología y métodos
Se realizó una investigación mixta, que combina elementos de investigación cuantitativa y cualitativa. Esta combinación permitió obtener una visión más completa sobre cómo potenciar la gestión emocional durante el proceso de aprendizaje virtual mediante el uso de la Inteligencia Artificial en el Entorno Virtual de Aprendizaje implementado dentro de Moodle, en la Maestría de Educación con mención Pedagogía en Entornos Digitales Universidad Bolivariana del Ecuador. El periodo de investigación fue de julio a noviembre de 2023. En términos de investigación cuantitativa, se realizaron encuestas anónimas para conocer el estado emocional de los estudiantes durante el período académico de la Maestría de Educación con mención Pedagogía en Entornos Digitales Universidad Bolivariana del Ecuador. Estos instrumentos proporcionaron datos cuantitativos que pudieron ser analizados estadísticamente para identificar posibles correlaciones o patrones entre las categorías de análisis, la gestión emocional y el uso de la de la Inteligencia Artificial en el Entorno Virtual de Aprendizaje. Desde el punto de vista cualitativo, se realizaron entrevistas en profundidad a profesores y expertos para comprender mejor las experiencias, percepciones y desafíos relacionados con la gestión emocional y el uso de Inteligencia Artificial en el Entorno Virtual de Aprendizaje. Estas entrevistas permitieron obtener información cualitativa valiosa sobre cómo potenciar la gestión emocional durante el proceso de aprendizaje virtual mediante el uso de la Inteligencia Artificial en el Entorno Virtual de Aprendizaje implementado dentro de Moodle, en la Maestría Universidad Bolivariana del Ecuador.
Este tipo de investigación incluyó la investigación de campo (empírica), lo que permitió recolectar datos directamente del entorno donde ocurre el fenómeno estudiado. En este caso, mediante encuestas a estudiantes se obtuvo información relevante sobre cómo gestionan sus emociones en su proceso de aprendizaje en entornos virtuales. También se realizó revisión de literatura sobre el tema, la cual proporcionó información sobre el estado actual del conocimiento en el campo de la gestión emocional, entornos virtuales de aprendizaje y el uso de la IA, lo que implica una base sólida para el análisis posterior.
El paradigma utilizado para gestión emocional en los entornos virtuales de aprendizaje es el interpretativo. Este paradigma fue especialmente relevante para investigar temas relacionados con la gestión emocional.
En esta sección se describen los resultados obtenidos, con énfasis en aspectos como la detección y respuesta a las emociones de los estudiantes con la propuesta de implementación piloto del tutor asistido por IA en Moodle en el contexto de la Universidad Bolivariana del Ecuador, incluyendo la retroalimentación de los estudiantes y docentes involucrados, la personalización del aprendizaje, la interpretación o valoración de ellos. Asimismo, se indica la información o datos obtenidos de la aplicación sistémica de los métodos, así como la explicación de los resultados obtenidos, los cuales amplían los hallazgos de estudios previos. De igual manera, se valora la aplicabilidad de los resultados, así como las lecciones aprendidas y las recomendaciones para futuras mejoras y desarrollo en este campo de investigación y práctica educativa.
En la Tabla 1 se muestra diferentes estadísticas descriptivas de los datos numéricos obtenidos, que incluyen la media, la desviación estándar, los valores máximos y mínimos, y los cuartiles de los datos numéricos, por lo que proporciona información de la tendencia central, la dispersión y la distribución de los datos, ver Figura 1. Una vez obtenido el resumen es clave comprender que información se muestra en cada una de las filas de la tabla.
Tabla1. Representación de las estadísticas descriptivas
count |
53.000.000 |
53.000.000 |
53.000.000 |
53.000.000 |
53.000.000 |
53.000.000 |
53.000.000 |
53.000.000 |
53.000.000 |
53.000.000 |
... |
mean |
3.207.547 |
3.150.943 |
3.132.075 |
3.094.340 |
3.037.736 |
2.679.245 |
2.962.264 |
3.018.868 |
3.169.811 |
2.792.453 |
... |
std |
0.793204 |
0.863718 |
0.941311 |
0.882831 |
0.979840 |
1.139.730 |
0.876230 |
0.990155 |
0.893047 |
1.006.870 |
... |
min |
1.000.000 |
1.000.000 |
0.000000 |
1.000.000 |
0.000000 |
0.000000 |
1.000.000 |
0.000000 |
1.000.000 |
1.000.000 |
... |
25% |
3.000.000 |
3.000.000 |
3.000.000 |
2.000.000 |
2.000.000 |
2.000.000 |
2.000.000 |
3.000.000 |
3.000.000 |
2.000.000 |
... |
53.000.000 |
53.000.000 |
53.000.000 |
53.000.000 |
53.000.000 |
53.000.000 |
53.000.000 |
53.000.000 |
53.000.000 |
53.000.000 |
2.716.981 |
3.018.868 |
2.962.264 |
3.094.340 |
2.830.189 |
2.622.642 |
2.886.792 |
3.113.208 |
2.886.792 |
3.113.208 |
0.948224 |
0.930065 |
0.979840 |
0.925372 |
1.087.266 |
1.243.853 |
0.891420 |
1.031.436 |
0.973897 |
0.953947 |
1.000.000 |
1.000.000 |
0.000000 |
1.000.000 |
0.000000 |
0.000000 |
1.000.000 |
0.000000 |
0.000000 |
0.000000 |
2.000.000 |
3.000.000 |
2.000.000 |
3.000.000 |
2.000.000 |
2.000.000 |
2.000.000 |
2.000.000 |
2.000.000 |
3.000.000 |
Nota: La tabla muestra los estadígrafos descriptivos obtenidos del instrumento aplicado. Elaboración propia, 2024
La información de cada fila es:
count: Indica el número de observaciones (no nulas) en cada columna.
mean: Muestra la media de los valores en cada columna.
std: Contiene la desviación estándar que mide la dispersión de los valores alrededor de la media.
min: Devuelve el valor mínimo en cada columna.
25%, 50% y 75%: Representan los percentiles correspondientes.
El 25% es el primer cuartil (Q1), el 50% es la mediana (Q2), y el 75% es el tercer cuartil (Q3).
max: Informa del valor máximo en cada columna
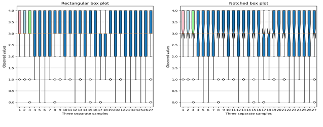
Figura 1. Distribución de los datos

Nota: La figura 1 muestra la distribución de los datos del instrumento aplicado en el diagnóstico. Elaboración propia, 2024
La caja en el centro de la Figura 1 representa el rango intercuartílico (IQR), que va desde el primer cuartil (Q1) hasta el tercer cuartil (Q3). El tamaño de la caja indica la dispersión de los datos dentro de este rango. El 50% central de los datos se encuentra dentro de la caja. Asimismo, se muestra una línea mediana (Mediana): Dentro de la caja, que representa la mediana de los datos. Divide el conjunto de datos en dos partes iguales: el 50% inferior y el 50% superior. Los bigotes se extienden desde la caja hasta los valores más extremos que están dentro de un rango determinado. Los bigotes muestran la variabilidad de los datos fuera de la caja. Los valores que caen fuera de los bigotes se consideran atípicos, por lo que estos estudiantes requieren una especial atención por parte de los docentes para la gestión de sus emociones, estos puntos que están fuera de los bigotes se muestran individualmente en la Figura 1 y se consideran valores atípicos o extremos en relación con el resto de los datos. Al interpretar el gráfico de la Figura 1 se observa la longitud de los bigotes para tener una idea de la dispersión de los datos, en este caso en una escala del 1 al 4 que se representan de la siguiente manera: 4 Casi siempre, 3 Frecuentemente, 2 Algunas veces, 1 Pocas veces para interpretar las 22 variables involucradas en el análisis. Los bigotes son largos, por tanto, la variabilidad de los datos es alta. Además, los puntos que se encuentran fuera de los bigotes pueden indicar la presencia de valores atípicos que requieren una mayor exploración.
Para el análisis de los datos obtenidos al aplicar el instrumento se elaboraron gráficos basados en las caras de Chernoft, al decir del propio autor “Las personas crecen estudiando y reaccionando a caras todo el tiempo. Diferencias pequeñas y apenas notables son fácilmente detectadas y evocan reacciones emocionales obtenidas de un gran catálogo enterrado en la memoria” (Chernoff, 2023, p. 5); una de las ventajas de estos rostros o caras como método de representación se encuentra en la “percepción cualitativa aumentada de qué cálculos numéricos son relevantes” (Chernoff, 2023, p. 3).
La técnica de los rostros de Chernoff, utilizada para visualizar datos multidimensionales, asocia diversas variables con distintas características faciales. Esta analogía resulta especialmente significativa en el ámbito de la gestión emocional. En la siguiente gráfica se muestra una representación de indicadores importante en virtud de medir la gestión emocional en los estudiantes de la Maestría en Educación en Entornos Virtuales, la capacidad para prestar atención de manera consciente a los sentimientos, capacidad para generar conscientemente sentimientos positivos, o sea, las reacciones emocionales, capacidad para superar y aceptar los sentimientos negativos, el nivel de percepción de los efectos físicos que tienen los sentimientos, son algunos de los indicadores construidos a través de un proceso deductivo.
Figura 2. Caras de Chernoff en la gestión emocional de los estudiantes de la Maestría en Pedagogía en Educación Mención Pedagogía en Entornos Digitales de la UBE

Nota: La figura 2 muestra las caras de Chernoff para la gestión emocional de los estudiantes de la Maestría en Pedagogía en Educación Mención Pedagogía en Entornos Digitales de la UBE. Elaboración Propia, 2024
Estos rostros o caras representadas en la Figura 2, visualizan datos multivariados en la forma de un rostro humano. Cada una de las formas representadas, o sea ojos, oídos, boca y nariz son reflejos de los valores de las variables por su forma, tamaño, ubicación y orientación. Esta noción se sustenta en la capacidad innata de los seres humanos para identificar rostros con facilidad y percibir incluso las sutilezas más pequeñas en sus expresiones faciales. El uso de estas caras como herramientas visuales encuentra su raíz en la habilidad evolutiva de la especie humana para interpretar las señales emocionales y sociales transmitidas a través de la cara. Este fenómeno no solo revela la aguda destreza perceptiva de los individuos, sino que también subraya la importancia fundamental de la comunicación no verbal en la interacción humana. En consecuencia, la utilización de estas representaciones faciales se erige como un recurso importante para explorar y comprender la rica complejidad de la expresión facial y sus matices mediante técnicas de agrupación y patrones en los datos. Es importante señalar que en la figura se observan tres de las caras más representativas, donde el mayor porcentaje (30%) lo constituye aquellos estudiantes, en cuyas respuestas el mayor predominio fue “casi siempre”, por otra parte, destaca el caso opuesto representado por el rostro de color rojo con una representación del 14 %, siendo “pocas veces” la respuesta más común. Se visualiza un desglose de algunas variables tomadas en cuenta para la formación de estos rostros, de esta manera observamos los estudiantes en riesgos que representan el 14 % para ser atendidos mediante un análisis por parte del docente.
En este sentido, es importante la implementación de herramientas de IA para el análisis de patrones en los datos obtenidos en el entorno virtual de aprendizaje en estudio, pero: ¿Qué puede cambiar al analizar datos relevantes en la gestión emocional en un entorno virtual de aprendizaje implementado en Moodle? Al usar datos podemos visualizar tendencias, establecer comparaciones, recursos más vistos, conocer el estado emocional de los estudiantes, etc., que al representarlos con tablas sería más tedioso descubrir entre filas y columnas el resultado que esperamos. Moodle es muy rico en su potencial para brindar información relevante para los docentes, pero muchas veces esa información queda en manos de los de los Ingenieros en Sistemas, o áreas relacionadas a esta, por lo que los docentes muchas veces no aprovechan estas posibilidades de acceso determinadas estadísticas, informes, registros que nos presenta Moodle. El uso de herramientas de inteligencia artificial (IA) ofrece una oportunidad invaluable para comprender mejor el estado emocional de los estudiantes. Esto es crucial para mejorar la gestión emocional en estos entornos de estudio. Un estudio realizado por (Masias, et al., 2023) que propuso una aplicación de inteligencia artificial con redes neuronales que permiten capturar el estado emocional de los estudiantes dentro del aula virtual en tiempo real para mostrar al docente la percepción de sus estudiantes durante la sesión de clase virtual. Los resultados obtenidos muestran el estado emocional de los estudiantes dentro del aula virtual, para que el docente pueda evaluar y así mejore en tiempo real sus estrategias dentro del proceso enseñanza-aprendizaje.
En el entorno virtual de aprendizaje de la Universidad Bolivariana del ecuador es importante la integración de herramientas de inteligencia artificial (IA) para mejorar la comprensión del estado emocional de los estudiantes. En este sentido el módulo de retroalimentación de Moodle (Moodle Feedback Module) permite a los docentes proporcionar comentarios a los estudiantes sobre su desempeño en el curso (Encuestas). Este módulo puede ser adaptado para incluir retroalimentación relacionada con el estado emocional de los estudiantes, como mensajes de ánimo o sugerencias para gestionar el estrés. Otro plugins importante que tiene Moodle incorporado es Moodle Learning Analytics Plugin que ofrece una serie de plugins de análisis de aprendizaje que pueden proporcionar información sobre cómo los estudiantes interactúan con el contenido y las actividades del curso. Estos plugins pueden ser personalizados para incluir métricas relacionadas con el estado emocional de los estudiantes. Al incluir métricas relacionadas con el estado emocional de los estudiantes, el Moodle Learning Analytics Plugin ofrece una visión más completa y profunda del proceso de aprendizaje. Esto permite a los educadores identificar no solo áreas de fortaleza y debilidad académica, sino también necesidades emocionales y sociales que puedan influir en el rendimiento estudiantil. Con esta información, los educadores pueden diseñar intervenciones y estrategias de apoyo más efectivas para promover el éxito académico y emocional de sus estudiantes.

Nota: En la figura se muestra la integración en Moodle de los Plugins descritos. Elaboración propia, 2024.
En su funcionamiento básico, el plugin Learning Analytics, recopila datos sobre diversas interacciones de los estudiantes, como el tiempo dedicado a visualizar recursos educativos, la participación en foros de discusión, la presentación de tareas y la realización de evaluaciones. Estos datos se almacenan de manera centralizada y pueden ser analizados para obtener información valiosa sobre el comportamiento de los estudiantes en el entorno virtual de aprendizaje el plugin también puede incorporar indicadores de sus estados emocionales. Por ejemplo, podría analizar el lenguaje utilizado en los mensajes de los estudiantes en los foros de discusión para detectar signos de frustración, entusiasmo o confusión. Se pueden identificar palabras clave y patrones lingüísticos que reflejen distintos estados emocionales. De esta manera, si un estudiante utiliza un lenguaje que expresa desánimo o dificultad, este plugin puede alertar a los docentes para que tomen las medidas necesarias.
Además del análisis del lenguaje, el plugin puede considerar el tiempo dedicado a ciertas actividades como un indicador indirecto de estados emocionales. Por ejemplo, un patrón de procrastinación puede sugerir desmotivación o ansiedad, mientras que un alto nivel de compromiso puede indicar interés y entusiasmo por el contenido. Estos indicadores, cuando se combinan con otros datos de interacción, pueden proporcionar una visión holística del estado emocional del estudiante.
Por otra parte, este plugin ha marcado tendencia desde su integración con Moodle siendo en abril de 2024 el mes de más instalaciones activas, por lo que se evidencia su amplia utilización como se muestra en la Figura 4.
Figura 4. Uso del plugins Learning Analytics Plugin desde mayo 2021 a abril 2024

Nota: La gráfica representa el Uso del plugins Learning Analytics Plugin desde mayo 2021 a abril 2024. Tomado de (Moodle, 2024)
El plugin Learning Analytics no solo recopila y analiza datos sobre el comportamiento de los estudiantes en entornos de aprendizaje virtuales, sino que también proporciona una comprensión más profunda de sus estados emocionales. Esto permite a los docentes sus métodos de enseñanza y apoyo, lo que promueve un entorno de aprendizaje más colaborativo.
Conclusiones
El análisis de los resultados del instrumento aplicado muestra que el 14% de los estudiantes encuestados se encuentra en riesgo, indicando un estado emocional desfavorable. Por lo que requieren atención especial por parte de los docentes, con intervenciones oportunas y personalizadas para mejorar su bienestar emocional y, por ende, su rendimiento académico en la Universidad Bolivariana del Ecuador.
La integración de módulos (plugins) de Inteligencia Artificial en la plataforma Moodle de la Universidad Bolivariana del Ecuador permite mejorar la personalización del aprendizaje significativo, adaptando el contenido a las necesidades individuales de los estudiantes para favorecer la gestión de sus emociones. Al utilizar Feedback Module y el Moodle Learning Analytics Plugin, los docentes pueden identificar estudiantes en riesgo en su bienestar emocional.
Referencias bibliográficas
Amiconi, D., & Cappello, V. (2023). Tutor Virtual UTN. Diseño e Implementación de un asistente virtual (Chatbot) para apoyatura a los y las ingresantes en la UTN FRLP. Ingenio Tecnológico, 5, e040, 2023. https://ingenio.frlp.utn.edu.ar/index.php/ingenio/article/view/79
Bravo, V. B., Aguilar, G. M., Espinosa, W. E., & Avila, L. Y. (2022). Transformando la educación virtual: La revolución de la inteligencia artificial en la potenciación de la plataforma Moodle. Journal of Science and Research: Revista Ciencia e Investigación, 7(3), 140–164. https://revistas.utb.edu.ec/index.php/sr/article/view/2936
Cetina, M. N., Dzay-Chulim, F., & Victoria, V. V. (2023). Emociones y pedagogía virtual del profesorado universitario ante la pandemia del COVID-19. Edähi Boletín Científico de Ciencias Sociales y Humanidades del ICSHu, 11, 1-11. https://doi.org/10.29057/icshu.v11i22.10484
Chernoff, H. (2023). The Use of Faces to Represent Points in K-Dimensional. Journal of the American Statistical Association, 3. https://www.tandfonline.com/doi/abs/10.1080/01621459.1973.10482434
Fernández, P. (2023). Inteligencia Emocional, aprende a gestionar las emociones. Shackleton.¡
García, R., & Ángel, J. (2012). La educación emocional, su importancia en el proceso de aprendizaje. Revista de Educación, 36(1), 1-24. https://www.redalyc.org/articulo.oa?id=44023984007
Gómez, W. A. (2023). La Inteligencia Artificial y su Incidencia en la Educación: Transformando el Aprendizaje para el Siglo XXI. RIPIE. Revista Internacional de Pedagogía e Ignovación Educativa, 3, 217–229. https://doi.org/10.51660/ripie.v3i2.133
Ibáñez, N. (2002). Las emociones en el aula. Scielo(28), 31-45. http://dx.doi.org/10.4067/S0718-07052002000100002
IBM. (2024). IBM. https://www.ibm.com/topics/artificial-intelligence
Jacznik, R., Tassara, M., Baldino, G., & Silvia, R. (2016). Integrando modelo de aprendizaje supervisado al análisis del desempeño de alumnos en cursos virtuales sobre plataformas Moodle. XIII Workshop Tecnología Informática Aplicada en Educación (WTIAE). (págs. 404-413). Universidad Nacional de San Luis. http://sedici.unlp.edu.ar/handle/10915/55929
Lee, K.F. (7 de octubre de 2020). Cómo la inteligencia artificial ayudará a los profesores. (Estudiantes, Entrevistador)
Maldonado, P., & Intriago, M. (2023). Las emociones y su afectación en estudiantes universitarios. Revista Ciencias Sociales y Económicas, 7(2), 77–87. https://doi.org/10.18779/csye.v7i2.672
Masias, E. F., Segovia, J. L., Casique, A. G., & Díaz, M. D. (2023). Análisis de sentimientos con inteligencia artificial para mejorar el proceso enseñanza-aprendizaje en el aula virtual. Publicaciones, 53(2), 185–216. https://doi.org/10.30827/publicaciones.v53i2.26825ç
Moodle. (2024). Moodle. https://moodle.org/plugins/local_learning_analytics/stats
Moreira, M. A., & Segura, J. A. (2019). E-Learning: enseñar y aprender en espacios virtuales. Tecnología Educativa, 391-424. https://www.tecnologia-ciencia-educacion.com/index.php/TCE/article/view/569
Nogueira, D. M., Matellán, E. D., & Balseca, D. N. (2024). Aprendizaje Autónomo en Entornos virtuales, su relación con las inteligencias artificial y emocional. Universidad y Sociedad, 16(1), 252–261. https://rus.ucf.edu.cu/index.php/rus/article/view/4325
Rouhiainen, L. (2018). Inteligencia artificial. 101 cosas que debes saber hoy sobre nuestro futuro. Editorial Planeta, S.A.
UBE Universidad Bolivariana del Ecuador. (14 de 11 de 2023). LinkedIn. https://www.linkedin.com/company/ube-universidad-bolivariana-del-ecuador/?originalSubdomain=ec
Universidad Bolivarianna del Ecuador. (s.f.). Universidad Bolivarianna del Ecuador. https://ube.edu.ec/
Contribución autoral:
María Lucía Campoverde Cárdenas: conceptualización, análisis formal, investigación, redacción.
Hendy Maier Pérez Barrera: conceptualización, análisis formal, investigación, metodología, recursos, supervisión, redacción, revisión.
Roger Martínez Isaac: administración de proyecto, recursos, revisión.
Declaración de conflictos de interés:
Loa autores declaran que no existen conflicto de intereses.
Atenas Nro. 62 (2024) ISSN: 1682-2749
https://atenas.umcc.cu