Satisfacción de estudiantes y profesores con las guías de estudio en la carrera de Derecho
Satisfaction of students and professors with the Study Guides in the Law Degree
Satisfação de alunos e professores com os Guias de Estudo da Licenciatura em Direito
Artículo de investigación
Francisco Ramírez Betancourt1
franciscodavidramirez51@gmail.com
Lians Alfonso Roque2
Sonia González Silva3
Geidy Salgado Cepero4
Recibido: 11 de julio de 2021 Evaluado: 26 de agosto de 2021
Aceptado para su publicación: 21 de septiembre de 2021
Cómo citar el artículo: Ramírez-Betancourt, F., Alfonso-Roque, L., González Silva, S. y Salgado-Cepero, G. (2022). Satisfacción de estudiantes y profesores con las guías de estudio en la carrera de Derecho. Atenas, Vol. 3 (59), 81-95.
.
Resumen
La implementación de las Sedes Universitarias, extendidas como Universidades creadas en los municipios, con el propósito de garantizar la masividad en los estudios universitarios en los lugares donde residen y laboran los estudiantes. Las guías de estudio constituyen el medio de enseñanza por excelencia de esta modalidad. El objetivo de la presente investigación es diseñar e implementar un procedimiento que permita evaluar y analizar el nivel de satisfacción de los estudiantes y profesores con las guías de estudio en la carrera de Derecho, en el modelo de Universalización de la Educación Superior Cubana. Para el desarrollo de esta investigación cuantitativa se emplearon métodos y técnicas de análisis y síntesis, de inducción y deducción, de tránsito de lo abstracto a lo concreto, estadístico, entrevistas y encuestas, herramientas básicas de diagnóstico, así como el procesamiento computacional de los resultados, mediante el software SPSS, sin excluir el análisis lógico, la analogía, la reflexión y otros procesos mentales. Los resultados del trabajo demostraron que existe insatisfacción por parte de los estudiantes y profesores con las guías de estudio, lo que implica un nivel de satisfacción de menos de lo esperado, resultados que responden a una evaluación cualitativa de mal.
Palabras clave: Guías de estudio, satisfacción, universalización.
Abstract
The implementation of the University Venues, extended as universities created in the municipalities, with the purpose of guaranteeing the massiveness of university studies in the places where the students reside and work. The Study Guides constitute the teaching medium par excellence of this modality. The objective of this research is to design and implement a procedure that allows evaluating and analyzing the level of satisfaction of students and teachers with the Study Guides in the Law School, in the model of Universalization of Cuban Higher Education. For the development of this quantitative research, methods and techniques of analysis and synthesis, induction and deduction, transition from the abstract to the concrete, statistics, dialectics, interviews and surveys, basic diagnostic tools, as well as the computational processing of the results, using SPSS software, not excluding logical analysis, analogy, reflection and other mental processes. The results of the work showed that there is dissatisfaction on the part of the students and teachers with the Study Guides, which implies a level of satisfaction of less than expected, results that respond to a qualitative evaluation of bad.
Keywords: Study guides, satisfaction, universalization.
Resumo
A implementação dos Espaços Universitários, alargados como Universidades criadas nos municípios, com o propósito de garantir a massividade dos estudos universitários nos locais onde os alunos residem e trabalham. Os Guias de Estudo constituem o meio de ensino por excelência desta modalidade. O objetivo desta pesquisa é desenhar e implementar um procedimento que permita avaliar e analisar o nível de satisfação de alunos e professores com os Guias de Estudos da Faculdade de Direito, no modelo de Universalização do Ensino Superior cubano. Para o desenvolvimento desta pesquisa quantitativa, métodos e técnicas de análise e síntese, de indução e dedução, de transição do abstrato para o concreto, estatístico, dialético, entrevistas e levantamentos, ferramentas diagnósticas básicas, bem como o processamento computacional do resultados, utilizando o software SPSS, não excluindo análise lógica, analogia, reflexão e outros processos mentais. Os resultados do trabalho mostraram que existe insatisfação por parte dos alunos e professores com os Guias de Estudo, o que implica um nível de satisfação inferior ao esperado, resultados que respondem a uma avaliação qualitativa ruim.
Palavras-chave: Guias de estudo, satisfação, universalização.
Introducción
Una organización orientada a la calidad promueve una cultura que da como resultado comportamientos, actitudes, actividades y procesos para proporcionar valor mediante el cumplimiento de las necesidades y expectativas de los clientes y otras partes interesadas pertinentes. La calidad de los productos y servicios de una organización está determinada por la capacidad para satisfacer a los clientes, y por el impacto sobre las partes interesadas pertinentes ("ISO 9001:2015. Norma Internacional ISO 9001: Sistemas de gestión de la calidad-Requisitos. ," 2015).
La complementariedad entre estos dos conceptos (cultura organizacional y calidad) devienen en una nueva acepción asociada a una cultura de la calidad, manifiesta en patrones de comportamiento, creencias y valores que son aceptados, aprendidos y practicados por los miembros de una organización, para ofrecer productos y servicios cuyas ventajas competitivas satisfacen los requisitos y expectativas de los clientes (Hernández-Palma et al., 2018; Robles-Acosta et al., 2016) .
Esta orientación al cliente, motivada por los propios estándares internacionales que rigen los Sistemas de Gestión de la Calidad, resulta característico de una gestión con enfoque de procesos (Medina-Nogueira et al., 2020; Ramírez-Betancourt et al., 2020), donde el objetivo consiste en eliminar los deslindes funcionales para lograr resultados de impacto en la organización (Cuesta-Santos et al., 2018).
En tal sentido, la calidad está dada por las percepciones que los clientes tengan sobre los productos o servicios que ofrezca la organización; por las prácticas de los empleados y por las relaciones con los proveedores (Gutiérrez-Pulido et al., 2014). Y, por otro lado, las soluciones a los problemas de calidad estarán dadas por el equilibrio que se logre entre la eficiencia y la eficacia (Bolaños-Cerón, 2020; Muñiz-Salazar, 2020; Rojas et al., 2017) .
Las Instituciones de Educación Superior tienen su enfoque en temas de calidad (Véliz-Briones, 2018); por lo tanto, cada una tiene sus objetivos estratégicos relacionados con la misión, visión y valores organizacionales, sin embargo, uno de los principales problemas está en cómo determinar las acciones que permitan tener cambios positivos en la calidad (Becerra-Lois et al., 2019; González-Aportela & Batista-Mainegra, 2017; Hernandez et al., 2017) . La gestión administrativa debe contribuir a la optimización de recursos humanos y físicos que respondan y satisfagan las necesidades del entorno local y global. Cada Institución de Educación Superior asume el compromiso de brindar servicios de calidad con procesos eficientes destinados a alcanzar el logro de sus objetivos, para ello deben definirse factores de calidad y potenciar las acciones de mejora (Paredes-Alvarez, 2020; Pimienta-Concepción et al., 2018).
Para la realización de este propósito, juega un papel importante, el modelo de Universalización de la Educación Superior Cubana, en la modalidad denominada Continuidad de Estudio (Fernández-Calzado & González-Cruz, 2018), la investigación se plantea desde una perspectiva de mejora, proporcionándole a la Universidad una estrategia para el cambio en uno de los medios de enseñanza de que disponen los estudiantes para la adquisición de los conocimientos, en este caso la guía de estudio, que constituye un medio fundamental para realizar la autopreparación (Barragán-Becerra et al., 2017; Mena et al., 2012). La calidad de este medio es determinante en la gestión del conocimiento, a tono con las transformaciones actuales (Aguilar-Feijoo, 2004).
En correspondencia con lo antes planteado, el objetivo de la presente investigación es diseñar e implementar un procedimiento que permita evaluar y analizar el nivel de satisfacción de los estudiantes y profesores con las guías de estudio en la carrera de Derecho, en el modelo de Universalización de la Educación Superior Cubana.
Metodología y métodos
Breve caracterización del objeto de estudio.
La carrera de Derecho cuenta con un total de 1021 estudiantes, de ellos 228 pertenecen a la modalidad de continuidad de estudios. Esta modalidad ofrece nuevas y mayores perspectivas de ampliación del acceso a la Educación Superior a los trabajadores en activo, así como a cualquier otro ciudadano que aspira a estudiar una carrera universitaria con lo cual se contribuye a la formación de una cultura general integral a la población y a un incremento paulatino de los niveles de equidad y de justicia social
El claustro está compuesto por 80 profesores, los cuales imparten la docencia en las diferentes modalidades. La carrera está organizada de la siguiente forma: jefe de Carrera, Coordinador Docente, Coordinador de Investigación y Postgrado, Coordinador de Tutoría, Coordinador de Extensión Universitaria, Coordinador de Estudios a Distancia, jefes de Disciplinas, Claustro de Profesores, Tutores.
Las disciplinas se dividen como sigue; Filosofía, Gramática y Redacción, Historia, Economía, Constitucional, Metodología de la Investigación, Idioma, Civil y Familia, Penal, Derecho Internacional, Asesoría, entre otras.
Procedimiento para la Evaluación, Análisis y Diagnosis del Nivel de Satisfacción de las guías de estudio en el modelo de universalización de la Educación Superior Cubana.
Este procedimiento permite evaluar el nivel de satisfacción de los estudiantes y profesores en las guías de estudio en el modelo de universalización de la Educación Superior Cubana, además de determinar cuáles son los problemas y las causas que los originan.
Evaluación del nivel de satisfacción.
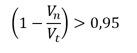
Para llevar a cabo este proceso se utiliza como instrumento la encuesta. En la investigación se utiliza una escala Likert del 1 al 5 y las preguntas en lo adelante (ítems) se seleccionan a partir del Método Delphi, para lo cual se seguirá el procedimiento siguiente:

Donde: Vn - Cantidad de votos negativos y Vt - Total de votos.
Se seleccionan los ítems que cumplan la condición anterior.
Donde:
N – Total de clientes.
K – Nivel de confianza.
P – Probabilidad de éxito.
Q – Probabilidad de fallo. Nota: Se recomienda emplear P= Q
E – Error
Evaluación cuantitativa
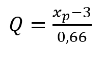
Se obtiene a partir del promedio (Xp) de los ítems una vez aplicadas las encuestas a los estudiantes y profesores seleccionados, utilizando el Software SPSS para el procesamiento de los datos.
Evaluación cualitativa
Se obtiene a partir del cálculo del índice de calidad Q mediante la expresión siguiente:

Con el valor del índice de calidad Q vamos a la Tabla 1.
Tabla 1. Evaluación cualitativa
Índice de calidad (Q) |
Evaluación cualitativa |
-3,03 ------ - 1,51 |
Muy mala |
-1,51 ------ 0.00 |
Mala |
0.00 -------- 0,75 |
Regular |
0,75 --------- 2.27 |
Buena |
2,27 --------- 3.03 |
Muy buena |
Análisis de los principales problemas y posibles causas
El proceso de análisis se desarrolla a partir de los resultados obtenidos en la evaluación sobre aquellos ítems que tributan a la insatisfacción, así como las posibles causas que la originan.
Para lograr lo anterior se utilizó el Software SPSS y el EXCEL, además del Método de Kendall
Resultados y discusión
Evaluación del nivel de satisfacción
Se seleccionó ocho profesores con experiencia y conocimientos del claustro de la carrera de Derecho, los cuales trabajaron como expertos en la selección de los ítems de la encuesta mediante la utilización del Método Delphi. Los ítems seleccionados fueron:
Con los resultados obtenidos se procedió a conformar la encuesta. Aplicándose la encuesta a la muestra seleccionada, para lo cual fueron escogidos los estudiantes que cursan el tercero y cuarto año, así como el claustro de profesores de la carrera. Esta decisión se fundamenta en que los estudiantes de estos años, tienen una mayor experiencia en el uso de guías de estudio y los profesores del claustro todos son tutores por lo que tienen también conocimiento de las diferentes guías de estudio.
La cantidad de elementos a encuestar se determinó mediante la fórmula para poblaciones finitas, utilizando un muestreo aleatorio simple con una población compuesta de 140 estudiantes y 70 profesores, lo que hace un total de 210 elementos, se tomó como error el 5% y las probabilidades de éxito (P) y no éxito (Q) iguales.
Tabla 2. Cálculo del tamaño de la muestra:

N |
Mínimo |
Máximo |
Media |
Desv.típ. |
138 |
1,33 |
4,42 |
2,37 |
,69761 |
Se deben encuestar un total de 138 elementos de la población seleccionada, por lo que se decidió segmentar la muestra de forma proporcional entre los estudiantes y profesores.
Estudiantes a encuestar: (140/210) (138) = 92 Profesores a encuestar: 46
Concluido el muestreo se obtuvo que los resultados de la encuesta fueron validados, obteniéndose un Alpha de Cronbach de 0.93 % y un valor de R cuadrada de 0.798 %, por lo que los resultados obtenidos son fiables y válidos. El 74,8% de los elementos encuestados manifiestan que tiene insatisfacción con las guías de estudio, estando solamente satisfecho el 25,2%. Se obtuvo además el porcentaje general de insatisfacción con las guías de estudio de estudiantes y profesores
Tabla 3. % de satisfacción
|
% de satisfacción |
Total |
|
Satisf |
Insatisf |
||
Estudiantes |
16,0% |
51,3% |
67,2% |
Profesores |
9,2% |
23,5% |
32,8% |
Total |
25,2% |
74,8% |
100% |
Tabla 4. Resultado de las evaluaciones
|
N |
Mínimo |
Máximo |
Media |
Desviación Típica |
Evaluación estudiantes Evaluación profesores |
92 46
|
1,38 1,40 |
4,26 3,70 |
2,4593 2,4483 |
,71792 ,79256 |
La evaluación general cuantitativa del nivel de satisfacción de los estudiantes y profesores con las guías de estudio, arrojó un valor medio ponderado general de 2.45, donde al analizar la opinión de los estudiantes y profesores por separado vemos que existe una coincidencia al obtenerse valores medios ponderados de 2.44 y 2.48 respectivamente, por lo que todos los valores se encuentran por debajo del 3, existiendo por tanto un nivel de satisfacción de menos de los esperado, tanto de carácter general, como en cada uno de los segmentos analizados, además debemos señalar que se presentaron evaluaciones con valores medios mínimos de 1.38 y 1.40 lo que implica que existen niveles muy altos de insatisfacción.
La evaluación cualitativa del nivel de satisfacción de los estudiantes y profesores con las guías de estudio se determinó a partir de lo establecido en el procedimiento, arrojando los resultados siguientes:
Determinación de los índices Q.

Con los índices calculados y la Tabla 3, del procedimiento diseñado se obtuvo la evaluación de MAL las guías de estudio, tanto de carácter general como por cada uno de los segmentos.
Análisis y diagnosis de los resultados obtenidos.
Tabla 5 Valores promedios de las valoraciones otorgadas a los ítems.
Item1 |
2,2017 |
Item6 |
2,5798 |
Item11 |
2,2454 |
Item2 |
2,2521 |
Item7 |
2,4454 |
Item12 |
2,3445 |
Item3 |
2,4958 |
Item8 |
2,3109 |
Item13 |
2,3361 |
Item4 |
2,3950 |
Item9 |
2,1765 |
Item14 |
2,4202 |
Item5 |
2,6975 |
Item10 |
2,2353 |
Item15 |
2,2437 |
Los ítems que se encuentran por debajo del valor promedio fueron llevados al método Kendall para priorizar aquellos de mayor incidencia en la satisfacción del cliente, siendo estos:
Tabla 6. Resumen de los expertos.
Ítems (K) |
Expertos (m) |
|
|
|
|||||||
1 |
2 |
3 |
4 |
5 |
6 |
7 |
8 |
||||
1 |
1 |
1 |
2 |
2 |
1 |
1 |
2 |
1 |
11 |
-29 |
841 |
2 |
3 |
3 |
4 |
5 |
5 |
4 |
1 |
3 |
28 |
-12 |
144 |
8 |
8 |
9 |
6 |
8 |
9 |
8 |
7 |
9 |
64 |
24 |
76 |
9 |
5 |
4 |
5 |
4 |
4 |
6 |
5 |
4 |
37 |
-3 |
9 |
10 |
4 |
5 |
3 |
3 |
3 |
5 |
4 |
5 |
32 |
-8 |
64 |
11 |
7 |
8 |
8 |
7 |
6 |
7 |
9 |
8 |
60 |
20 |
400 |
12 |
6 |
6 |
7 |
6 |
7 |
3 |
6 |
6 |
47 |
7 |
49 |
13 |
9 |
7 |
9 |
9 |
8 |
9 |
8 |
7 |
66 |
26 |
676 |
15 |
2 |
2 |
1 |
1 |
2 |
2 |
3 |
2 |
15 |
-25 |
625 |
|
|
|
|
|
|
|
|
|
360 |
|
2884 |

Como el coeficiente de concordancia de Kendall (W) arrojo un valor mayor de 0,50 los resultados obtenidos por el panel de expertos son confiables

Siendo seleccionados los ítems siguientes:
El análisis de las sub-causas se debe llevar a cabo por el grupo de mejora, el cual debe estar compuesto por aquellos especialistas con los conocimientos que le permitan aportar ideas para la elaboración del programa de mejora, recomendándose el empleo del diagrama Causa – Efecto, acompañado del diagrama CEDAC, mediante el cual se van recogiendo las propuestas de soluciones que se van realizando mediante el uso de tarjetas.
El procedimiento expuesto en la presente investigación no está limitado exclusivamente a evaluar la satisfacción de las guías de estudio; haciendo las transformaciones pertinentes puede ser extendido a otras actividades dentro del proceso docente educativo.
La satisfacción con la guías de estudio solamente, no implica que se obtengan resultados docentes positivos; esto depende del grado de utilización que se les dé a estas guías por parte de estudiantes y profesores.
Conclusiones
Se diseñó un procedimiento para la evaluación análisis y diagnosis del nivel de satisfacción de los estudiantes y profesores, validándose la encuesta como instrumento utilizado para la recopilación de la información. Los resultados demostraron que existe insatisfacción por parte de los estudiantes y profesores con las guías de estudio, lo cual fue corroborado, al observarse un 74.8% de insatisfacción general, así como las encuestas arrojaron una valoración promedio cuantitativa general de 2.45, coincidiendo los segmentos que componen los estudiantes y profesores con valoraciones de 2.44 y 2.48 respectivamente, con una evaluación cualitativa de MAL. Las principales insatisfacciones estuvieron dadas por: No abordar lo esencial de los temas; el nivel de complejidad de las actividades de autoevaluación de las guías de estudio no se corresponde con la de los exámenes; No facilitan la preparación para los exámenes; No facilitan acceder a la bibliografía necesaria para cada tema y los ejemplos que aparecen en la misma no se vinculan estrechamente con la práctica real.
Aguilar-Feijoo, R. M. (2004). La guía didáctica, un material educativo para promover el aprendizaje autónomo. Evaluación y mejoramiento de su calidad en la modalidad abierta y a distancia de la UTPL. Revista iberoamericana de educación a distancia, 7(2), 179-192.
Becerra-Lois, F. Á., Andrade-Orbe, A. M., & Díaz-Gispert, L. I. (2019). Sistema de gestión de la calidad para el proceso de investigación: Universidad de Otavalo, Ecuador Actualidades Investigativas en Educación, 19(1), 1-32.
Cuesta-Santos, A., Fleitas-Triana, S., García-Fenton, V., Hernández-Darias, I., Anchundia-Loor, A., & Mateus-Mateus, L. (2018). Evaluación del desempeño, compromiso y gestión de recursos humanos en la empresa. Ingeniería Industrial, 39(1).
Fernández-Calzado, J., & González Cruz, M. (2018). La universalización de la educación superior cubana: una vía idónea para contribuir al desarrollo local desde la carrera de español-literatura. Atlante: Cuadernos de Educación y Desarrollo abril 2018. https://www.eumed.net/rev/atlante/2018/04/educacion-superior-cuba.html
ISO 9001:2015. Norma Internacional ISO 9001: Sistemas de gestión de la calidad-Requisitos. . (2015).
Medina-Nogueira, Y. E., Medina-León, A., El Assafiri, Y., & Nogueira-Rivera, D. (2020). Análisis de las investigaciones sobre gestión por procesos: una revisión para américa latina y el caribe. Prácticas socioadministrativas para la competitividad, emprendimiento y mercadotecnia digital. Una visión desde la licenciatura, 17-39.
Véliz-Briones, V. F. (2018). Calidad en la educación superior. Caso Ecuador. Atenas, 1(41), 165-185.
Datos del (los) autor (es)
1 Doctor en ciencias. Ingeniero Industrial. Profesor Titular. Universidad de Matanzas. ORCID: https://orcid.org/0000-0002-3683-8126 .
2 Ingeniero Industrial. Profesor instructor. Universidad de Matanzas. ORCID: https://orcid.org/0000-0002-1643-7114
3 Ingeniero Industrial. Profesor instructor. Universidad de Matanzas. ORCID: https://orcid.org/0000-0002-9222-4129
4 Máster en Ciencias. Ingeniero Industrial. Profesor asistente. Universidad de Matanzas. ID ORCID: https://orcid.org/0000-0002-0497-3817